文章快速检索     高级检索
  含能材料  2014, Vol. 22 Issue (6): 744-747.  DOI: 10.11943/j.issn.1006-9941.2014.06.006
0

引用本文  

赵廷兴, 田均均, 李磊, 范桂娟, 张光全, 李鸿波, 黄明. 5,5′-联四唑-1,1′-二氧二羟铵(TKX-50)50克量级制备放大工艺[J]. 含能材料, 2014, 22(6): 744-747. DOI: 10.11943/j.issn.1006-9941.2014.06.006.
ZHAO Ting-xing, TIAN Jun-jun, LI Lei, FAN Gui-juan, ZHANG Guang-quan, LI Hong-bo, HUANG Ming. Up-sizing 50 Grams-scale Synthesis Technology of Dihydroxylammonium 5,5′-Bistetrazole-1,1′-diolate (TKX-50)[J]. Chinese Journal of Energetic Materials, 2014, 22(6): 744-747. DOI: 10.11943/j.issn.1006-9941.2014.06.006.

基金项目

总装预研专项专项(00402040103-2);西南科技大学研究生创新基金(14YCX010)

作者简介

赵廷兴(1988-),男,硕士生,从事含能材料合成研究。e-mail: Puppy626@163.com

通信联系人

黄明(1969-),男,研究员,主要从事含能材料合成、结晶研究。e-mail: jy_hm@163.com

文章历史

收稿日期:2014-01-18
修回日期:2014-03-20
5,5′-联四唑-1,1′-二氧二羟铵(TKX-50)50克量级制备放大工艺
赵廷兴1, 田均均2, 李磊1, 范桂娟2, 张光全2, 李鸿波1, 黄明2     
1. 西南科技大学材料科学与工程学院, 四川 绵阳 621010;
2. 中国工程物理研究院化工材料研究所, 四川 绵阳 621999
摘要:为获得绿色低感高能炸药, 研究了5,5′-联四唑-1,1′-二氧二羟铵(TKX-50)的50克量级制备方法。以乙二醛为起始原料, 通过肟化、氯代、叠氮化、环合制得了关键中间体5,5′-联四唑-1,1′-二羟基二水合物(1,1′-BTO), 1,1′-BTO与羟胺水溶液成盐直接制备出目标物TKX-50, 产品经1H NMR, IR, MS, DSC和元素分析确证结构。重点考察了由1,1′-BTO制备TKX-50反应中投料比、时间及温度对收率的影响, 确定了适宜的工艺条件:投料摩尔比n(1,1′-BTO):n(NH2OH·HCl):n(NaOH)=1:2.2:2.2, 反应时间1 h, 温度80 ℃时, 单步反应收率80.1%。合成路线总收率为41.5%。
关键词有机化学     合成     5,5′-联四唑-1,1′-二氧二羟铵(TKX-50)    
Up-sizing 50 Grams-scale Synthesis Technology of Dihydroxylammonium 5,5′-Bistetrazole-1,1′-diolate (TKX-50)
ZHAO Ting-xing1, TIAN Jun-jun2, LI Lei1, FAN Gui-juan2, ZHANG Guang-quan2, LI Hong-bo1, HUANG Ming2     
1. School of Materials Science and Engineering, Southwest University of Science and Technology, Mianyang 621010, China;
2. Institute of Chemical Materials, China Academy of Engineering Physics, Mianyang 621999, China
Abstract: In order to obtain green and insensitive high energy explosives, 50 grams-scale synthetic method of dihydroxylammonium 5,5′-bistetrazole-1,1′-diolate (TKX-50) was investigated. The key intermediate of 5,5′-bistetrazole-1,1′-diol dihydrate (1,1′-BTO) was synthesized through oximation, chlorination, azidation and cyclization from glyoxal. TKX-50 was successfully obtained from the reaction of 1, 1-BTD with hydroxylamine aqueous solution. The product was characterized by 1H NMR, IR, MS, DSC and element analysis. In the preparation process of TKX-50 from 1,1′-BTO, the influence of molar ratio of reactants, reaction time and temperature on the yield of TKX-50 were studied. The optimal conditions of the process were determined: when the reaction was operated at 80 ℃ for 1h with the molar ratio of n(1,1′-BTO):n(NH2OH·HCl):n(NaOH) = 1:2.2:2.2. The yield could achieve in 80.1%. The total yield of the synthetic route is 41.5 %. The technology is valuable for the preparation of TKX-50 in large scale.
Key words: organic chemistry    synthesis    TKX-50    
1 引言

同一分子内对以碳、氮元素为基的特定环状骨架进行氧化、硝化, 进而得到环状或笼状高能化合物是炸药合成的基本策略, 例如1-氧-2,6-二氨基-3,5-二硝基吡嗪(LLM-105)、奥克托今(HMX)及六硝基六氮杂异伍兹烷(CL-20)等, 但这几种炸药在分子能量提高的同时其感度也相应增加[1]、合成路线较复杂[2-3]、爆炸和分解产物对环境有不同程度污染[4-5]。寻求安全性好、能量高、环境友好的绿色含能材料仍是当今含能材料研究领域的焦点[6-8]

唑类化合物分子中包含大量N—N、C—N等高能化学键, 具有高氮低碳氢、高能量高密度的特点, 化合物更易实现氧平衡[9-10]。在含能材料领域中, 设计合成新型唑系含能离子盐已成为研究热点[11-15]。实践证明, 有些离子盐已具备了低感高能特性, 应用前景较为广泛。

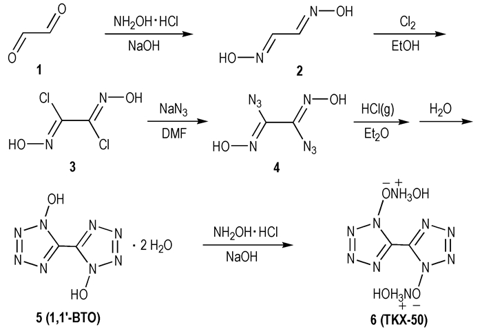
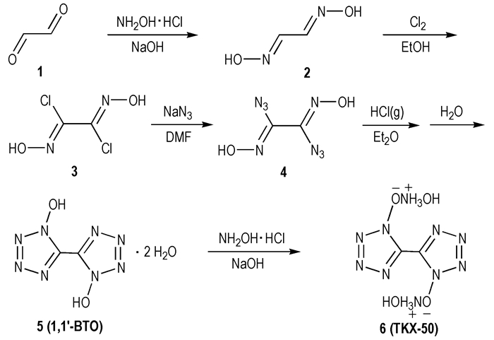
德国慕尼黑大学Thomas M. Klapötke等[16]设计合成了5,5′-联四唑-1,1′-二氧二羟铵(TKX-50), 计算表明其能量与CL-20相当, 密度1.918 g·cm-3、爆速9.679 km·s-1、爆压42.4 MPa、标准生成焓446.6 kJ·mol-1; 实测其特性落高100 cm (BAM), 撞击爆炸概率16%, 摩擦爆炸概率24%, 表明其机械感度远低于RDX (H50: 26 cm/2.5 kg; 撞击爆炸概率88%)和HMX (H50: 32 cm/2.5 kg; 撞击爆炸概率80%~100%), 与苦味酸铵(撞击爆炸概率18%)相当, 属于能量与感度都非常理想的不敏感高能炸药。为此, 本研究在Thomas M. Klapötke等人的克量级制备方法基础上, 讨论了由二叠氮基乙二肟环合制备5,5′-联四唑-1,1′-二羟基二水合物(1,1′-BTO)的反应机理; 并将文献中1,1′-BTO制备TKX-50的两步反应缩短为一步, 重点考察了该反应的投料比、时间及温度对收率的影响, 确定了适宜的工艺条件, 研究获得了50 g量级TKX-50的制备方法(Scheme 1), 相关技术为工艺放大研究提供参考。

Scheme1  
2 实验部分 2.1 合成路线

合成路线见Scheme 1

2.2 试剂与仪器

乙二醛水溶液(40%)、双氧水(30%)、浓盐酸(36%)、98%浓硫酸、盐酸羟胺、氢氧化钠、无水乙醇、N,N-二甲基甲酰胺(DMF)、叠氮钠(NaN3)、乙醚。上述试剂均为分析纯, 购于成都市科龙化工试剂厂。

瑞士Bruker公司AV500型(500 MHz)超导核磁共振波谱仪; 美国Nicolet公司Nexus 870型傅里叶变换红外光谱仪(KBr); 美国Varian公司325 LC-MS质谱仪; 德国Elementar公司Vario EL Ⅲ型自动微量有机元素分析仪。美国TA公司SDT Q600热分析仪。

2.3 实验步骤 2.3.1 乙二肟(2)的合成

0 ℃下, 将80.0 mL 40%的乙二醛(1)水溶液, 84.0 g盐酸羟胺及80.0 mL水加入到烧瓶中, 搅拌下将40% NaOH水溶液80.0 mL滴加到烧瓶中, 30 min滴毕, 继续搅拌20 min。抽滤, 滤饼经水洗, 干燥得白色固体60.0 g, 收率98.0 %。1H NMR(DMSO-d6, 500 MHz), δ: (s, 11.68, —O—H), (s, 7.70, =C—H); Anal. calcd for C2H4N2O2: C 27.28, H 4.58, N 31.81; found C 27.13, H 4.79, N 31.49。

2.3.2 二氯乙二肟(3)的合成

于-20 ℃下, 将60.0 g 2溶于800.0 mL无水乙醇中, 向反应液通足量氯气后, 升至室温搅拌1 h。过滤, 滤液呈亮黄色透明溶液, 旋蒸除去约2/3体积乙醇, 然后向残液中加入适量氯仿, 静置, 有固体析出, 经抽滤、干燥得白色晶体66.5 g, 收率78.1 %。1H NMR(DMSO-d6, 500 MHz), δ: (s, 12.98, —O—H); Anal. calcd for C2H2N2O2Cl2: C 15.31, H 1.28, N 17.85; found C 15.28, H 1.34, N 17.39。

2.3.3 5,5′-联四唑-1,1′-二羟基二水合物(5,1,1′-BTO)的合成

室温下, 将66.5 g 3溶于800.0 mL DMF, 冷却至0 ℃, 再加入77.8 g NaN3, 反应液呈乳白色浑浊, 搅拌1 h后加入2 L水, 有白色沉淀析出, 经过滤、水洗、抽干得白色固体。将其转移至装有4.5 L乙醚的反应瓶中, 冷至0 ℃, 向反应体系中通入HCl气体, 保持反应温度低于20 ℃。直至在瓶壁上出现白色针状晶体, 且一段时间后针状晶体又重新分散于乙醚中, 证明乙醚中HCl已饱和。立即密封反应体系, 室温下搅拌过夜。缓慢打开反应瓶, 将反应液于50 ℃下蒸除大部分乙醚, 加入约1 L水, 抽滤, 滤液经减压蒸除部分溶剂, 冷却, 抽滤, 滤饼经水重结晶、真空干燥得白色固体63.0 g, 收率67.7 %。1H NMR(DMSO-d6, 500 MHz), δ: 6.80(s, —O—H); Anal. calcd for C2H2N8O2.2H2O: C 11.65, H 2.93, N 54.36; found C 11.42, H 3.01, N 54.12。

2.3.4 5,5′-联四唑-1,1′-二氧二羟铵(6,TKX-50)的合成

室温下, 将46.8 g NH2OH·HCl加入到335.0 mL 2 mol·L-1的NaOH水溶液中, 搅拌5 min后, 将63.0 g 5 (1,1′-BTO)加入到上述溶液, 持续升温至80 ℃, 反应1 h后冷至室温, 有固体析出。抽滤, 滤饼经乙醇重结晶得白色固体58.4 g, 收率80.1%。DSC(10 ℃· min-1): 223 ℃(dec.); IR(KBr, ν/cm-1): 3420(m, N—H), 2938(s, C—H), 1529(s, C=N); MS(FAB-) m/z: 169.04[C2N8O2]2-; 1H NMR(DMSO-d6, 500 MHz), δ: 9.72(s, 8H, NH3OH); Anal. calcd for C2H8N10O4: C 10.15, H 3.68, N 59.29; found C 10.01, H 3.72, N 59.11。

3 结果与讨论 3.1 时间、投料比和温度对TKX-50收率的影响

由中间体1,1′-BTO(5)制备TKX-50(6)的过程中, 文献[16]采用先将5与NaOH水溶液反应生成5的钠盐, 将其分离后再与盐酸羟胺经离子交换反应制得TKX-50, 操作较为繁琐。对此, 本研究将反应进行了改进优化, 将中间体5加入到羟胺水溶液中, 于一定温度下经成盐反应直接生成TKX-50, 并着重考察反应时间、投料比和温度对TKX-50收率的影响。

当反应物投料摩尔比为n(5):n(NH2OH·HCl):n(NaOH) =1:2.2:2.2, 反应温度80 ℃时, 反应时间对TKX-50收率的影响见表 1。从表 1可以看出, 随着反应时间的延长, 可有效提高收率, 但1 h后, 收率增加已不明显, 趋于平稳, 故反应1 h时即可实现较好的收率。

表 1 反应时间对TKX-50收率的影响 Tab.1 Effect of reaction time on the yield of TKX-50

为保证TKX-50收率最大化, 实验中投入等摩尔量的NaOH与NH2OH·HCl, 且相对于1,1′-BTO(5)稍过量。表 2为反应物投料比对TKX-50收率的影响, 从表 2可以看出, 反应温度80 ℃, 反应时间1 h的条件下, 反应物投料比n(5):n(NH2OH·HCl):n(NaOH)=1:2.2:2.2时, 收率即可达到80%以上, 再增加NH2OH·HCl与NaOH的投料时, 收率已不能有效提高。

表 2 反应物投料比对TKX-50收率的影响 Tab.2 Effect of molar ratio on the yield of TKX-50

当反应物投料比为n(5):n(NH2OH·HCl):n(NaOH)=1:2.2:2.2, 反应时间1 h时, 反应温度对TKX-50收率的影响见表 3。从表 3可以看出, 升高温度可有效提高反应收率, 当温度为80 ℃时, TKX-50收率最高(80.1%), 90 ℃时有所下降, 原因可能为温度过高加速了羟胺的分解, 使成盐反应不充分。

表 3 反应温度对TKX-50收率的影响 Tab.3 Effect of reaction temperature on the yield of TKX-50

上述工艺研究结果表明适宜的工艺条件应为:投料比n(5):n(NH2OH·HCl):n(NaOH)=1:2.2:2.2, 反应时间1 h, 反应温度80 ℃, 单步收率为80.1%。按此条件, 平行实验3次, 平均收率可达80.1%。文献[16]报道的克量级反应工艺中, TKX-50收率为72%(DMF溶剂)或85%(NMP溶剂), 说明本研究优化的50 g量级TKX-50制备方法具有合成步骤少、操作简便、工艺稳定且易于放大等优点, 总收率可达41.5%。

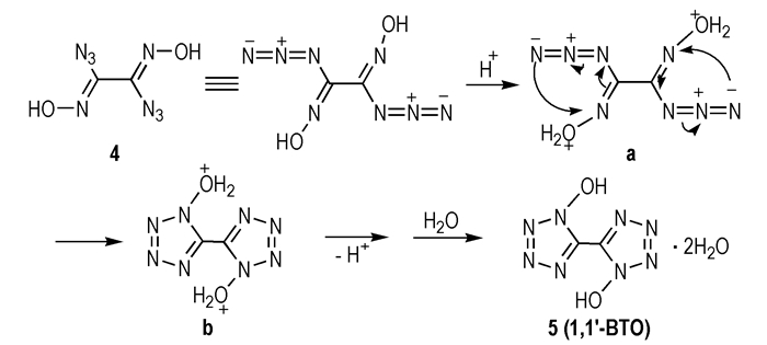
3.2 1,1′-BTO的合成机理

1,1′-BTO可能的合成机理如Scheme 2所示:在酸性溶液中, 二叠氮基乙二肟(4)易与H+结合生成a, a可发生分子内的环合反应生成具有四唑环结构的b, b解离出H+, 在水溶液中最终析出1,1′-BTO(5), 经乙醇重结晶即可制得纯品。

Scheme2  
4 结论

(1) 以乙二肟为起始原料, 经肟化、氯代、叠氮化、环合、成盐共五步反应制备出TKX-50, 总收率为41.5%。

(2) 在1,1′-BTO制备TKX-50的50克量级反应中, 着重考察了反应物投料比、时间及温度对TKX-50收率的影响, 获得了适宜工艺条件:投料比n(1,1′-BTO):n(NH2OH·HCl):n(NaOH)=1:2.2:2.2, 时间1 h, 温度80 ℃, 单步反应收率达80.1%。

参考文献
[1]
Bowers R C, Romans J B, Zisman W A. Mechanisms involved in impact sensitivity and desensitization of RDX[J]. Industrial & Engineering Chemistry Product Research and Development, 1973, 12(1): 2-13.
[2]
Sikder N, Sikder A K, Bulakh N R, et al. 1, 3, 3-Trinitroazetidine(TNAZ), a melt-cast explosive: synthesis characterization and thermal behavior[J]. Journal of Hazardous Materials, 2004, 113(1-3): 35-43. DOI:10.1016/j.jhazmat.2004.06.002
[3]
Eaton P E, Zhang M X, Gilardi R, et al. Octanitrocubane: a new nitrocarbon[J]. Propellants, Explosives, Pyrotechnics, 2002, 27(1): 1-6. DOI:10.1002/(ISSN)1521-4087
[4]
Lachance B, Renoux A Y, Sarrazin M, et al. Toxicity and bioaccumulation of reduced TNT metabolites in the earthworm Eisenia andrei exposed to amended forest soil[J]. Chemosphere, 2004, 55(10): 1339-1348. DOI:10.1016/j.chemosphere.2003.11.049
[5]
McLellan W, Hartley W R, Brower M. Health advisory for hexahydro-1,3,5-trinitro-1,3,5-triazinane. Technical Report PB90-273533[R]. Office of Drinking Water, U. S. Environmental Protection Agency: Washington DC, 1988.
[6]
李志敏, 张建国, 张同来, 等. 硝基四唑及其高氮化合物[J]. 化学进展, 2010, 22(4): 639-647.
LI Zhi-min, ZHANG Jian-guo, ZHANG Tong-lai, et al. Nitro-tetrazole and its high nitrogen-contented compounds[J]. Progress in Chemistry, 2010, 22(4): 639-647.
[7]
黄明, 李洪珍, 李金山. 高氮含能化合物的合成及反应性[J]. 含能材料, 2006, 14(6): 457-462.
HUANG Ming, LI Hong-zhen, LI Jin-shan. Review on synthesis of high-nitrogen energetic compounds[J]. Chinese Journal of Energetic Materials(Hanneng Cailiao), 2006, 14(6): 457-462.
[8]
Göbel M, Karaghiosoff K, Klapötke T M, et al. Nitrotetrazolate-2N-oxides and the strategy of N-oxide introduction[J]. Journal of the American Chemical Society, 2010, 132(48): 17216-17226. DOI:10.1021/ja106892a
[9]
杨利, 高福磊, 凡庆涛, 等. 咪唑类含能化合物的研究进展[J]. 含能材料, 2009, 17(3): 374-379.
YANG Li, GAO Fu-lei, FAN Qing-tao, et al. Progress in imidazolium-based energetic compounds[J]. Chinese Journal of Energetic Materials (Hanneng Cailiao), 2009, 17(3): 374-379.
[10]
杨世清, 岳守体. 国外四嗪四唑类高氮含能材料研究进展[J]. 含能材料, 2003, 11(4): 231-235.
YANG Shi-qing, YUE Shou-ti. Progress in high-nitrogen energetic materials derived from tetrazine and tetrazole[J]. Chinese Journal of Energetic Materials(Hanneng Cailiao), 2003, 11(4): 231-235.
[11]
赵廷兴, 李磊, 董战, 等. 硝基唑类含能化合物的合成研究进展[J]. 有机化学, 2014, 34(2): 304-315.
ZHAO Ting-xing, LI Lei, DONG Zhan, et al. Research progress on the synthesis of energetic nitroazoles[J]. Chinese Journal of Organic Chemistry, 2014, 34(2): 304-315.
[12]
Hiskey M, Chavez D. Insensitive high-nitrogen compounds[P]. DE 2001776133.
[13]
张兴高, 朱慧, 张炜, 等. 高氮化合物在含能材料中的应用研究进展[J]. 含能材料, 2004, 12(21): 48-53.
ZHANG Xing-gao, ZHU Hui, ZHANG Wei, et al. Application development of poly-nitrogen compounds in energetic materials[J]. Chinese Journal of Energetic Materials(Hanneng Cailiao), 2004, 12(21): 48-53.
[14]
Boneberg F, Kirchner A, Klapötke T M, et al. A study of cyanotetrazole oxides and derivatives thereof[J]. Chemistry An Asian Journal, 2013, 8(1): 148-159. DOI:10.1002/asia.v8.1
[15]
朱周朔, 姜振明, 王鹏程, 等. 5,5'-联四唑-1,1'-二氧二羟铵的合成及其性能研究[J]. 含能材料, 2014, 22(3): 332-336.
ZHU Zhou-shuo, WANG Peng-cheng, LU Ming, et al. Synthesis and properties of dihydroxylammonium 5,5'-bistetrazole-1,1'-diolate[J]. Chinese Journal of Energetic Materials(Hanneng Cailiao), 2014, 22(3): 332-336.
[16]
Fischer N, Fischer D, Klapötke T M, et al. Pushing the limits of energetic materials: the synthesis and characterization of dihydroxylammonium 5,5'-bistetrazole-1,1'-diolate[J]. Journal of Materials Chemistry, 2012, 22(38): 20418-20422. DOI:10.1039/c2jm33646d
图文摘要

5,5′-Bistetrazole-1,1′-diol dihydrate (1,1′-BTO) was synthesized. Dihydroxylammonium 5,5′-bistetrazole-1,1′-diolate (TKX-50) was successfully obtained from the reaction of 1,1′-BTO with hydroxylamine aqueous solution in 50 grams scale.