两种氮杂环硝胺母体的合成及热力学性质
赵国政1, 陆明2     
1. 山西师范大学化学与材料科学学院, 山西 临汾 041004;
2. 南京理工大学化工学院, 江苏 南京 210094
摘要:以2, 3, 5, 6-四氨基吡啶盐酸盐和原甲酸三乙酯为原料,以缩合反应制备了氮杂环硝胺母体1, 5-二氢-二咪唑并[4, 5-b:4′, 5′-e]吡啶,原甲酸三乙酯与2, 3, 5, 6-四氨基吡啶盐酸盐的最优摩尔比为4.5,收率为56.5%;以硫代氨基脲和1, 4-二甲酰基-2, 3, 5, 6-四羟基哌嗪为原料,制备了2, 9-二醛基-5, 13-二硫羰基-2, 4, 6, 7, 9, 11, 12, 14-八氮杂-三环[8.4.0.03, 8]十四烷,硫代氨基脲与1, 4-二甲酰基-2, 3, 5, 6-四羟基哌嗪的最优摩尔比为2.2,收率为46.0%。采用核磁共振、红外光谱、质谱和元素分析表征了它们的结构。运用量子化学密度泛函理论DFT-B3LYP/6-311G(d)方法,对两种氮杂环硝胺母体进行了几何优化和振动频率分析,研究了两种母体在200~800 K内的热力学性质,结果表明,两种氮杂环硝胺母体的标准恒压摩尔热容、标准摩尔熵和标准摩尔焓均随温度升高而增大。
关键词氮杂环     硝胺母体     合成     热力学性质    
Synthesis and Thermodynamic Properties of Two N-heterocyclic Nitramine Precursors
ZHAO Guo-zheng1, LU Ming2     
1. School of Chemistry and Material Science, Shanxi Normal University, Linfen 041004, China;
2. School of Chemical Engineering, Nanjing University of Science & Technology, Nanjing 210094, China
Abstract: Using 2, 3, 5, 6-tetraamineopyridine hydrochloride and triethoxy methane as starting materials, N-heterocyclic nitramine precursor 1, 5-2H-diimidazo [4, 5-b:4′, 5′-e] pyridine was prepared by condensation reactions. The optimum molar ratio of triethoxy methane/2, 3, 5, 6-tetraamineopyridine hydrochloride was indentified to be 4.5. The yield was 56.5%. 2, 9-Dialdehyde-5, 13-dithio-2, 4, 6, 7, 9, 11, 12, 14-octaaza-tricyclo[8.4.0.03, 8]tetradecane was synthesized using thiosemicarbazide and 1, 4-diformyl-2, 3, 5, 6-tetrahydroxylpiperazine as raw materials. The optimum molar ratio of thiosemicarbazide/1, 4-diformyl-2, 3, 5, 6-tetrahydroxylpiperazine was indentified to be 2.2. The yield was 46.0%. Their structures were characterized by 1H NMR, IR, MS and elemental analyses. The geometry optimization and frequency vibration analysis of two N-heterocyclic nitramine precursors were performed by density functional theory DFT-B3LYP/6-311+G(d) method. Thermodynamic properties of two precursors in the temperature range of 200 K to 800 K were investigated. Results show that the constant pressure molar capacity, standard molar entropy and standard molar enthalpy of two N-heterocyclic nitramine precursors increase with the increase of temperature.
Key words: N-heterocyclic    nitramine precursor    synthesis    thermodynamic property    
1 引言

随着对炸药能量和稳定性要求的提高,多硝基氮杂单环、多环及笼形化合物成为典型代表[1-3]。根据理论计算和实践经验[4, 5],多硝基氮杂环化合物特别是氮杂环硝胺化合物这一研究领域最有可能合成出能量超过奥克托今(HMX)、其它性能满足使用要求的高能量密度炸药。多种能量接近或超过HMX的氮杂环硝胺炸药[6-10]已被合成。

缩合反应是一类应用极为广泛的有机合成反应,也是合成氮杂环硝胺炸药母体的有效途径之一[11-12],Nielsen等[13]以甲醛、乙二醛和苄胺为原料,运用缩合反应合成了2, 4, 6, 8-四苯甲基-2, 4, 6, 8-四氮杂双环[3.3.0]辛烷; 高志强等[14]将硝酰胺和三聚甲醛缩合得到亚甲基二硝胺; Paraskos等[15]基于乙二醛水溶液与乙酸铵的缩合制得2, 2-二咪唑,从而合成出4, 4, 5, 5-四硝基-2, 2-二咪唑酯。许多作为炸药或高能量密度材料使用的单环、多环和笼状氮杂环硝胺化合物都是基于缩合反应及其缩合物的硝化合成的[16-17]。为了探索合成能量和稳定性更优的硝胺化合物,本研究基于缩合反应,合成了两种氮杂环硝胺母体,1, 5-二氢-二咪唑并[4, 5-b:4′, 5′-e]吡啶和2, 9-二醛基-5, 13-二硫羰基-2, 4, 6, 7, 9, 11, 12, 14-八氮杂-三环[8.4.0.03, 8]十四烷,讨论了反应条件对反应的影响,计算了不同温度下两种母体的热力学性质。

2 实验部分 2.1 仪器与试剂

Bruker 500MH核磁共振光谱仪,德国Bruker公司; Bruker 300MH核磁共振光谱仪,德国Bruker公司; Ultra AM TSQ quntium型高分辨质谱仪,美国Finnigan公司; Nicolet IS-10型傅里叶变换红外光谱仪,德国赛默飞世尔公司; Vario EL Ⅲ型元素分析仪,德国Elementar公司。

2, 3, 5, 6-四氨基吡啶盐酸盐(自制[18]); 1, 4-二甲酰基-2, 3, 5, 6-四羟基哌嗪(自制[19]); 原甲酸三乙酯:分析纯,国药集团化学试剂有限公司; 硫代氨基脲、碳酸钾均为分析纯,阿拉丁化学品有限公司; 乙醇:分析纯,南京宁氏化学试剂有限公司; 浓盐酸(质量分数36%):分析纯,上海凌峰化学试剂有限公司。

2.2 合成路线及方法 2.2.1 1, 5-二氢-二咪唑并[4, 5-b:4′, 5′-e]吡啶的合成

依次加2.67 g(10 mmol)2, 3, 5, 6-四氨基吡啶盐酸盐、6.66 g(45 mmol)原甲酸三乙酯于25 mL的单口烧瓶中,磁力搅拌,N2保护下回流反应36 h,冷至室温,冰水稀释(10 mL),饱和K2CO3溶液调节pH至9,固体析出,过滤,乙醇洗涤3次,真空干燥,得棕黄色固体0.92 g,收率为56.5%。1HNMR (500 MHz, DMSO-d6): δ 7.48(s, 2H, Ar—H), 8.00(s, 2H, Ar—H), 8.45(s, 1H, N—H), 12.63(s, 1H, N—H); IR (KBr,ν/cm-1) 3531, 1499, 1493, 1405, 1374, 1322, 1290, 1078, 529, 471; MS (ESI),m/z: 158 [M-1]-; Anal. Calcd. for C7H5N5:C 52.83,H 3.17,N 44.01; Found C 52.80,H 3.14,N 44.06。

Scheme1 Synthetic route of 1, 5-2H-diimidazo[4, 5-b:4′, 5′-e] pyridine
2.2.2 2, 9-二醛基-5, 13-二硫羰基-2, 4, 6, 7, 9, 11, 12, 14-八氮杂-三环[8.4.0.03, 8]十四烷的合成
Scheme2 Synthetic route of 2, 9-dialdehyde-5, 13-dithio-2, 4, 6, 7, 9, 11, 12, 14-octaaza-tricyclo [8.4.0.03, 8]tetradecane

依次加1.03 g(5 mmol)1, 4-二甲酰基-2, 3, 5, 6-四羟基哌嗪、1.00 g(11 mmol)硫代氨基脲和15 mL浓盐酸于25 mL的单口烧瓶中,磁力搅拌,室温反应48 h,固体析出,停止反应,过滤,水洗,真空干燥,得黄色固体0.73 g,收率为46.0%。1HNMR (300 MHz, DMSO-d6): δ 4.61(s, 4H, C—H), 7.72(s, 2H, C—H), 7.90(s, 2H, N—H), 8.33(s, 2H, N—H), 11.70(s, 2H, N—H); IR (KBr,ν/cm-1) 3536, 3447, 3370, 1747, 1708, 1539, 1516, 1488, 1434, 1323, 1251, 1212, 1154, 1061, 889; MS (ESI),m/z: 315 [M-1]-; Anal. Calcd. for C8H12N8O2S2:C 30.37,H 3.82,N 35.42; Found C 30.33,H 3.80,N 35.46。

2.3 热力学性质计算

运用Gaussian09程序包[20]中的B3LYP/6-311G(d)方法对1, 5-二氢-二咪唑并[4, 5-b:4′, 5′-e]吡啶及2, 9-二醛基-5, 13-二硫羰基-2, 4, 6, 7, 9, 11, 12, 14-八氮杂-三环[8.4.0.03, 8]十四烷进行几何全优化。振动分析结果无虚频,说明对应于势能面上的构型稳定。通常,DFT计算把所有振动都看作简谐振动而使计算频率较实验值偏大。为此,按经验取0.96作为校正因子[21]。基于校正后的振动频率,计算两种氮杂环硝胺母体在200~800 K温度范围内的热力学性质。

3 结果与讨论 3.1 1, 5-二氢-二咪唑并[4, 5-b:4′, 5′-e]吡啶 3.1.1 原甲酸三乙酯用量对1, 5-二氢-二咪唑并[4, 5-b:4′, 5′-e]吡啶收率的影响

环合剂原甲酸三乙酯的理论用量为底物2, 3, 5, 6-四氨基吡啶盐酸盐的2倍,通过实验探究原甲酸三乙酯的用量对1, 5-二氢-二咪唑并[4, 5-b:4′, 5′-e]吡啶收率的影响。实验条件为2.67 g(10 mmol)的2, 3, 5, 6-四氨基吡啶盐酸盐分别和不同用量的原甲酸三乙酯回流反应36h,实验在氮气保护下进行。图 1为不同用量的原甲酸三乙酯对1, 5-二氢-二咪唑并[4, 5-b:4′, 5′-e]吡啶收率的影响。从图 1可以看出,随着原甲酸三乙酯与2, 3, 5, 6-四氨基吡啶盐酸盐摩尔比的增大,产物1, 5-二氢-二咪唑并[4, 5-b:4′, 5′-e]吡啶收率逐渐增加,当n(环合剂)/n(底物)比达到4.5时,1, 5-二氢-二咪唑并[4, 5-b:4′, 5′-e]吡啶的收率达到最大值56.5%,继续增加原甲酸三乙酯的用量,产物的收率无明显变化,所以原甲酸三乙酯的用量为2, 3, 5, 6-四氨基吡啶盐酸盐的4.5倍摩尔量为宜。

图 1 原甲酸三乙酯用量对产物收率的影响 Fig.1 Effect of dosage of triethyl orthoformate on the yield of product
3.1.2 pH值对1, 5-二氢-二咪唑并[4, 5-b:4′, 5′-e]吡啶收率的影响

2, 3, 5, 6-四氨基吡啶盐酸盐与原甲酸三乙酯的缩合反应中,由于1, 5-二氢-二咪唑并[4, 5-b:4′, 5′-e]吡啶在酸性体系下的溶解度比较高,所以后处理采用饱和K2CO3溶液中和,通过调节pH值析出产物,探究了pH值对1, 5-二氢-二咪唑并[4, 5-b:4′, 5′-e]吡啶收率的影响,实验条件:2.67 g(10 mmol)2, 3, 5, 6-四氨基吡啶盐酸盐,n(原甲酸三乙酯)/n(2, 3, 5, 6-四氨基吡啶盐酸盐)为4.5,N2保护,回流反应36 h,冷至室温,冰水稀释,用饱和K2CO3溶液中和至不同的pH值,探究对1, 5-二氢-二咪唑并[4, 5-b:4′, 5′-e]吡啶收率的影响,结果如图 2所示。饱和K2CO3溶液调节pH<7,几乎无1, 5-二氢-二咪唑并[4, 5-b:4′, 5′-e]吡啶析出,原因可能是1, 5-二氢-二咪唑并[4, 5-b:4′, 5′-e]吡啶溶解于酸中。由图 2可见,随着pH的增大,1, 5-二氢-二咪唑并[4, 5-b:4′, 5′-e]吡啶的收率随之提高,当溶液pH=9时,收率达到最大值为56.5%,继续增大pH,产物的收率无明显变化。

图 2 pH值对产物收率的影响 Fig.2 Effect of pH value on the yield of product
3.1.3 机理探讨

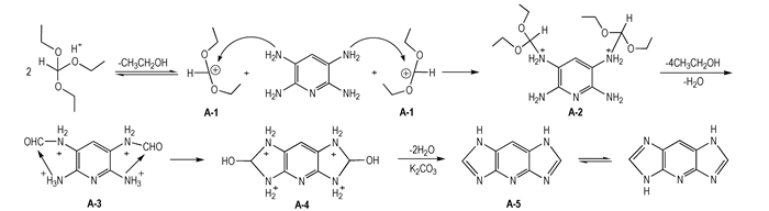
预测1, 5-二氢-二咪唑并[4, 5-b:4′, 5′-e]吡啶的反应机理如Scheme 3所示。原甲酸三乙酯质子化,脱去乙醇异构化,生成中间体A-1,2, 3, 5, 6-四氨基吡啶中的胺基氮原子进攻A-1上的碳正离子,生成中间体A-2,并伴随着乙醇和水的离去,中间体A-3中的胺基正离子进攻醛基上的碳原子,得到中间体A-4,A-4在饱和K2CO3溶液的中和下,脱水生成中间体A-5,异构化生成1, 5-二氢-二咪唑并[4, 5-b: 4′, 5′-e]吡啶。

Scheme3 Reaction mechanism of 1, 5-2H-diimidazo[4, 5-b:4′, 5′-e]pyridine
3.2 2, 9-二醛基-5, 13-二硫羰基-2, 4, 6, 7, 9, 11, 12, 14-八氮杂-三环[8.4.0.03, 8]十四烷 3.2.1 硫代氨基脲用量对产物收率的影响

环合剂硫代氨基脲的理论用量为底物1, 4-二甲酰基-2, 3, 5, 6-四羟基哌嗪的2倍,通过实验探究硫代氨基脲的用量对2, 9-二醛基-5, 13-二硫羰基-2, 4, 6, 7, 9, 11, 12, 14-八氮杂-三环[8.4.0.03, 8]十四烷收率的影响。实验条件为1.03 g(5 mmol)的1, 4-二甲酰基-2, 3, 5, 6-四羟基哌嗪分别和不同用量的硫代氨基脲室温反应48 h。图 3为不同用量的硫代氨基脲对2, 9-二醛基-5, 13-二硫羰基-2, 4, 6, 7, 9, 11, 12, 14-八氮杂-三环[8.4.0.03, 8]十四烷收率的影响。从图 3可以看出,随着硫代氨基脲与1, 4-二甲酰基-2, 3, 5, 6-四羟基哌嗪摩尔比的增大,产物2, 9-二醛基-5, 13-二硫羰基-2, 4, 6, 7, 9, 11, 12, 14-八氮杂-三环[8.4.0.03, 8]十四烷的收率逐渐增加,当n(环合剂)/n(底物)比达到2.2时,产物收率达到最大值46.0%,继续增加硫代氨基脲的用量,产物收率无明显变化,这是由于反应为平衡反应,硫代氨基脲稍过量,有利于底物1, 4-二甲酰基-2, 3, 5, 6-四羟基哌嗪更充分的反应。因此,较优的硫代氨基脲用量为1.00 g。

图 3 硫代氨基脲用量对产物收率的影响 Fig.3 Effect of dosage of thiosemicarbzide on the yield of product
3.2.2 浓盐酸用量对产物收率的影响

1, 4-二甲酰基-2, 3, 5, 6-四羟基哌嗪与硫代氨基脲的缩合反应中,浓盐酸作为反应溶剂,在1.03 g(5 mmol)的1, 4-二甲酰基-2, 3, 5, 6-四羟基哌嗪,n(硫代氨基脲)/n(1, 4-二甲酰基-2, 3, 5, 6-四羟基哌嗪)为2.2,磁力搅拌,室温反应48 h的条件下,探究浓盐酸的用量对2, 9-二醛基-5, 13-二硫羰基-2, 4, 6, 7, 9, 11, 12, 14-八氮杂-三环[8.4.0.03, 8]十四烷收率的影响,结果如图 4所示。从图 4可以看出,浓盐酸用量小于5 mL时,几乎无2, 9-二醛基-5, 13-二硫羰基-2, 4, 6, 7, 9, 11, 12, 14-八氮杂-三环[8.4.0.03, 8]十四烷析出,这是由于1, 4-二甲酰基-2, 3, 5, 6-四羟基哌嗪溶解不完全,影响了反应的进行。随着浓盐酸用量的增大,产物的收率随之提高,当浓盐酸用量为15 mL时,收率达到最大值为46.0%,继续增加浓盐酸用量,产物的收率无明显变化。因此,浓盐酸用量以15 mL为宜。

图 4 浓盐酸用量对产物收率的影响 Fig.4 Effect of dosage of concentrated hydrochloric acid on the yield of product
3.2.3 机理探讨

预测2, 9-二醛基-5, 13-二硫羰基-2, 4, 6, 7, 9, 11, 12, 14-八氮杂-三环[8.4.0.03, 8]十四烷的反应机理如图Scheme 4所示。质子化的硫代氨基脲进攻1, 4-二甲酰基-2, 3, 5, 6-四羟基哌嗪α位的碳原子,开环生成中间体B-1,B-1质子化生成中间体B-2,B-2中的氨正离子进攻α位的碳原子闭环,并伴随水分子的脱去,得到中间体B-3,B-3水洗,生成2, 9-二醛基-5, 13-二硫羰基-2, 4, 6, 7, 9, 11, 12, 14-八氮杂-三环[8.4.0.03, 8]十四烷。

Scheme4 Reaction mechanism of 2, 9-dialdehyde-5, 13-dithio-2, 4, 6, 7, 9, 11, 12, 14-octaaza-tricyclo[8.4.0.03, 8] tetradecane
3.3 两种氮杂环硝胺母体的热力学性质

表 1列出了两种氮杂环硝胺母体在200~800 K温度范围内的热力学函数,包括标准恒压摩尔热容(Cp, mθ)、标准摩尔熵(Smθ)和标准摩尔焓(Hmθ),热力学性质是计算评估其物理化学性能以及深入研究化学反应活性的必备参数。从表 1可以看出,两种氮杂环硝胺母体的热力学函数均随温度的升高而增大。这主要是因为较低温度下,热力学量主要来自体系的平动和转动,随着温度的上升,体系的振动对热力学函数的影响逐渐增大。拟合得到两种氮杂环硝胺母体的热力学性质与温度之间有如下函数关系:

表 1 不同温度下两种氮杂环硝胺母体的热力学性质 Tab.1 Thermodynamic properties of two N-heterocyclic nitramine precursors at different temperatures

1, 5-二氢-二咪唑并[4, 5-b:4′, 5′-e]吡啶:

$ \begin{align} &C_{p, \rm{m}}^\mathsf{ θ}=-7.05+0.05T+1.67\times {{10}^{-4}}{{T}^{2}}\ \ \ \ \ \ \ \ \ \ \ \ \ \ {{R}^{2}}=0.9997 \\ &S_{\rm{m}}^\mathsf{ θ}=208.77+0.57T-1.11\times {{10}^{-4}}{{T}^{2}}\ \ \ \ \ \ \ \ \ \ \ \ \ \ \ \ {{R}^{2}}=0.9999 \\ &H_{\rm{m}}^\mathsf{ θ}=-25.63+0.69T-3.52\times {{10}^{-4}}{{T}^{2}}\ \ \ \ \ \ \ \ \ \ \ \ \ \ {{R}^{2}}=0.9998 \\ \end{align} $

2, 9-二醛基-5, 13-二硫羰基-2, 4, 6, 7, 9, 11, 12, 14-八氮杂-三环[8.4.0.03, 8]十四烷:

$ \begin{align} &C_{p, \rm{m}}^\mathsf{ θ}=6.81+1.14T-5.55\times {{10}^{-4}}{{T}^{2}}\ \ \ \ \ \ \ \ \ \ \ \ \ \ \ \ \ \ \ {{R}^{2}}=0.9999 \\ &S_{\rm{m}}^\mathsf{ θ}=253.34+1.17T-2.93\times {{10}^{-4}}{{T}^{2}}\ \ \ \ \ \ \ \ \ \ \ \ \ \ \ \ \ \ {{R}^{2}}=1.0000 \\ &H_{\rm{m}}^\mathsf{ θ}=-15.02+0.13T+2.94\times {{10}^{-4}}{{T}^{2}}\ \ \ \ \ \ \ \ \ \ \ \ \ \ \ \ {{R}^{2}}=0.9998 \\ \end{align} $

式中, R2为相关系数,随着温度的升高,标准恒压摩尔热容与标准摩尔熵的增幅逐渐减小,而标准摩尔焓的增幅逐渐增大。由于曲线的二次方项系数均很小,故近似为直线。即三个热力学函数随温度升高基本呈线性递增。

4 结论

以1, 5-二氢-二咪唑并[4, 5-b:4′, 5′-e]吡啶和2, 9-二醛基-5, 13-二硫羰基-2, 4, 6, 7, 9, 11, 12, 14-八氮杂-三环[8.4.0.03, 8]十四烷为对象,研究了两种氮杂环硝胺母体的合成途径、反应机理及热力学性质,探讨了反应条件对缩合反应的影响,得到结论如下:

(1) 以2, 3, 5, 6-四氨基吡啶盐酸盐为原料合成1, 5-二氢-二咪唑并[4, 5-b:4′, 5′-e]吡啶的最优方法为:环合剂采用原甲酸三乙酯,n(环合剂)/n(底物)为4.5,氮气保护,回流反应36h,冷至室温,适量冰水稀释,加碱中和至弱碱性析出产物,收率为56.5%。

(2) 以1, 4-二甲酰基-2, 3, 5, 6-四羟基哌嗪为原料合成2, 9-二醛基-5, 13-二硫羰基-2, 4, 6, 7, 9, 11, 12, 14-八氮杂-三环[8.4.0.03, 8]十四烷的最优方法为:n(环合剂)/n(底物)为2.2,室温反应48 h,黄色固体析出,收率为46.0%。

(3) 两种氮杂环硝胺母体的热力学函数均随温度升高而增大。温度较低时,对热力学量的贡献主要来自体系的平动和转动,随温度升高,分子振动的贡献增大,导致热力学函数值增大。

参考文献
[1]
Zhang C, Sun C G, Hu B C, et al. Synthesis and characterization of the pentazolate anion cyclo-N5-in (N5)6(H3O)3(NH4)4Cl[J]. Science, 2017, 355(6323): 374-376. DOI:10.1126/science.aah3840
[2]
谭碧生, 黄明, 李金山, 等. 一种新的炸药感度判据:键&非键耦合分子刚柔度[J]. 含能材料, 2016, 24(1): 10-18.
TAN Bi-sheng, HUANG Ming, LI Jin-shan, et al. A new sensitivity criterion of explosives: Bonding & nonbonding coupling related molecular rigidity and flexibility[J]. Chinese Journal of Energetic Materials (Hanneng Cailiao), 2016, 24(1): 10-18.
[3]
张雪娇, 李玉川, 刘威, 等. 三嗪类含能化合物的研究进展[J]. 含能材料, 2012, 20(4): 491-500.
ZHANG Xue-jiao, LI Yu-chuan, LIU Wei, et al. Review on triazines energetic compounds[J]. Chinese Journal of Energetic Materials (Hanneng Cailiao), 2012, 20(4): 491-500.
[4]
Liu Y J, Zhang J H, Wang K C, et al. Bis(4-nitraminofurazanyl-3-azoxy)azofurazan and derivatives: 1, 2, 5-oxadiazole structures and high-performance energetic materials[J]. Angew Chem Int Ed, 2016, 55(38): 11548-11551. DOI:10.1002/anie.201606378
[5]
Yu Q, Wang Z X, Wu B, et al. A study of N-trinitroethyl-substituted aminofurazans: high detonation performance energetic compounds with good oxygen balance[J]. J Mater Chem A, 2015, 3(15): 8156-8164. DOI:10.1039/C4TA06974A
[6]
Tang Y X, Yang H W, Wu B, et al. Synthesis and characterization of a stable, catenated N11 energetic salt[J]. Angew Chem Int Ed, 2013, 52(18): 1-4.
[7]
Bushuyev O S, Brown P, Maiti A, et al. Ionic polymers as a new structural motif for high-energy-density materials[J]. J Am Chem Soc, 2012, 134(3): 1422-1425. DOI:10.1021/ja209640k
[8]
Fischer D, Klapötke T M, Piercey D G, et al. Synthesis of 5-aminotetrazole-1N-oxide and its azo derivative: A key step in the development of new energetic materials[J]. Chem Eur J, 2013, 19(14): 4602-4613. DOI:10.1002/chem.201203493
[9]
Nielsen A T, Chan M L, Kraeutle C K, et al. Polynitropolyazacaged explosives[R]. China Lake: Navel Weapons Center, 1989.
[10]
欧育湘, 刘进全. 高能量密度化合物[M]. 北京: 国防工业出版社, 2005: 125.
OU Yu-xiang, LIU Jin-quan. High energetic density compounds[M]. Beijing: National Defense Industry Press, 2005: 125.
[11]
陆明, 赵国政, 聂褔德, 等. 含吡啶/氨基苯环硝胺炸药的理论设计与合成[J]. 含能材料, 2013, 21(2): 194-199.
LU Ming, ZHAO Guo-zheng, NIE Fu-de, et al. Designs and synthetic routes of nitramine explosives containing pyridine/aminobenzene ring[J]. Chinese Journal of Energetic Materials (Hanneng Cailiao), 2013, 21(2): 194-199.
[12]
周彦水, 王伯周, 李建康, 等. 3, 4-双(4'-硝基呋咱-3'-基)氧化呋咱合成、表征与性能研究[J]. 化学学报, 2011, 69(14): 1673-1680.
ZHOU Yan-shui, WANG Bo-zhou, LI Jian-kang, et al. Study on synthesis, characterization and properties of 3, 4-bis(4'-nitrofurazano-3'-yl)furoxan[J]. Acta Chim Sinica, 2011, 69(14): 1673-1680.
[13]
Nielsen A T, Nissan R A, Chafin A P, et al. Polyazapolycyclics by condensation of aldehydes with amines. 3. Formation of 2, 4, 6, 8-tetrabenzyl-2, 4, 6, 8-tetraazabicyclo[3.3.0]octanes from formaldehyde, glyoxal, and benzylamines[J]. J Org Chem, 1992, 57(25): 6756-6759. DOI:10.1021/jo00051a016
[14]
高志强, 沈勇, 谭情情, 等. 新方法合成亚甲基二硝胺的工艺研究[J]. 火炸药学报, 2014, 37(1): 31-34.
GAO Zhi-qiang, SHEN Yong, TAN Qing-qing, et al. Study on the process of synthesizing methylenedinitramine by a novel method[J]. Chinese Journal of Explosive & Propellants, 2014, 37(1): 31-34.
[15]
Paraskos A J, Cooke E D, Caflin K C. Bishydrazinium and diammonium salts of 4, 4', 5, 5'-tetranitro-2, 2'-biimidazolate (TNBI): Synthesis and properties[J]. Propellants, Explosives, Pyrotechnics, 2015, 40(1): 46-49. DOI:10.1002/prep.v40.1
[16]
Nielsen A T, Nissan R A, Vanderah D J, et al. Polyazapolycyclics by condensation of aldehydes with amines. 2. Formation of 2, 4, 6, 8, 10, 12-hexabenzyl-2, 4, 6, 8, 10, 12-hexaazatetracyclo[5.5.0.05, 9.03, 11] dodecanes from glyoxal and benzylamines[J]. J Org Chem, 1990, 55(5): 1459-1466. DOI:10.1021/jo00292a015
[17]
Koppes W M, Chaykovsky M, Adolph H G, et al. Synthesis and structure of some peri-substituted 2, 4, 6, 8-tetraazabicyclo[3, 3, 0]octanes[J]. J Org Chem, 1997, 52(6): 1113-1119.
[18]
王鹏程, 刘想, 陆明, 等. 2, 3, 5, 6-四氨基吡啶盐酸盐的合成[J]. 南京理工大学学报, 2012, 36(5): 898-903.
WANG Peng-cheng, LIU Xiang, LU Ming, et al. Synthesis of 2, 3, 5, 6-tetraamineopyridine hydrochloride[J]. Journal of Nanjing University of Science and Technology, 2012, 36(5): 898-903.
[19]
Vail S L, Moran C M, Barker R H. The formation of N, N'-dihydroxyethylenebisamides from glyoxal and selected amides[J]. J Org Chem, 1965, 30(4): 1195-1199. DOI:10.1021/jo01015a056
[20]
Frisch M J, Trucks G W, Schlegel H B, et al. Gaussian 09, Revision C. 01[CP]; Gaussian, Inc. : Wallingford, CT, 2010.
[21]
Scott A P, Radom L. Harmonie vibrational frequeneies: An evaluation of haltree-fock, MΦller-Plesset, quadratic configuration interaction, density functional theory, and semiempirical scale factors[J]. J Phys Chem, 1996, 100(6): 16502-16513.
图文摘要

Two N-heterocyclic nitramine precursors were prepared by condensation reactions. The geometries of two precursors were optimized by DFT-B3LYP/6-311+G(d) method. Thermodynamic properties of two precursors at 200-800 K were investigated. All the thermodynamic functions increase with the increase of temperature.